Wildfire smoke exposure on finished cattle feed, water intake
Can causality be established, and what are the implications of the current results?
By Arturo Macias Franco, Aghata Elins Moreira da Silva and Mozart Fonseca
The effects of wildfire smoke exposure in livestock haven’t been explored in depth, and current studies overlook causality of the relationships that are established parametrically. Given these occurrences are expected to increase as global drying and heating increases, guidelines for tracking effects on livestock are essential.
Though wildfire smoke exposure is expected to affect respiration (i.e., lung effects), the effects are more than just respiratory. Studies have investigated effects on the liver (Wohlsein et al., 2016), myocardial thickening in the heart (Sharpe et al., 2020), among others. On livestock, studies have focused on dairy performance and health or focused on pulmonary lesions and meat quality post-mortem (Anderson et al., 2022, Hillman et al., 2022).
To the knowledge of the authors, the effects on beef cattle, specifically finished steers have not been reported. The need to quantify the effects of wildfire smoke on performance is essential in determining the costs and consequences associated with wildfire smoke exposure.
Additional to the relevance behind generating information on the effects of wildfire smoke exposure on cattle, caution should be exhausted on the relevance and meaning of the reported associations. Parametric statistics and the inferences made from them can oftentimes be misleading and misrepresented (Amrhein et al., 2019).
To adequately assess the effects of wildfire-smoke, sufficient controlled smoke exposure data is necessary to determine clear effect-responses. When not evaluated carefully, what this could represent is a generation of misleading associations that could soon be guiding policy and misguiding decision making for livestock producers which could be economically detrimental.
Overcoming these limitations can be explored through both parametric (Amrhein et al., 2019, Wellek, 2017) and non-parametric modelling techniques (Hill et al., 2011) that attempt to establish causality such as bayesian additive regression trees (BART).
Herein, we attempt to identify parametric and causal effects between wildfire smoke exposure on feed and water intake of finished cattle over a period of two years (2020-2021).
Data and animals utilizedData were generated over a period of two years at the Main Station Field Laboratory experimental station of the University of Nevada, Reno. During the 2020 wildfire season, data consisted of grass finished steers (n = 12; crude protein (CP): 21.3%, net energy for maintenance (NEm): 0.32 Mcal/kg; net energy for gain (NEg): 0.20 Mcal/kg) and grain finished steers (n = 12; CP: 10.8%, NEm: 0.40 Mcal/kg; NEg: 0.30 Mcal/kg) for a period of 105 d.
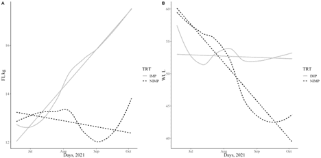
During the 2021 wildfire season, it consisted of implanted (n = 9) and non-implanted (n = 9) steers under the same diet (CP = 14.79%, NEm = 0.39 Mcal/kg, NEg = 0.26 Mcal/kg) for a period of 135 d. The parameters evaluated over the years are shown in Figures 1 and 2. Daily feed and water intake were recorded for all animals during the experimental periods.
Air quality data was obtained from the EPA (2020) with the sensors being located within 1 mile from the experimental station. The air quality parameters consisted of nitrogen dioxide (NO2), particulate matter under 2.5 um (PM2.5) and under 10 um (PM10), ozone (OZ), the average air quality index, sulfur dioxide (SO2), carbon monoxide (CO; AQI; EPA, 2023a). The wildfire smoke exposure occurred during the last 50 days of the 2020 experiment, and during the last 80 days for the 2021 experiment.
Figures 3 and 4 represent the air quality parameters examined and their variation through the season. All figures are fit with a simple linear regression to show the overall behavior (increasing or decreasing), and the weighed least squares loess regression is fitted to investigate specific nonlinearities detected through time (Cleveland et al., 1992).
To assess causality of the effects detected, data were fist analyzed as linear mixed models. After establishing linear parametric relationships, Bayesian additive regression trees (Hill et al., 2011) were utilized to explore causality through credible intervals.
Feed intakeFeed intake was consistently higher for grain finished steers compared to grass finished steers, but both linearly increased for the 2020 season (Figure 1). During the 2021 season, implanted steers linearly increased their feed intake without much change, whereas non-implanted steers appeared to decrease their feed intake slightly overtime, showing a quadratic decrease with a minimum intake in feed intake around the fire season in September (Figure 2).
Grain finished steers appeared to display positive effects between FI and SO2 levels and AQI (P < 0.001, Table 1), and significantly negative effects with PM2.5 (P < 0.001, Table 1). For grass finished steers, during that same season, significant positive effects on FI were detected for NO2, SO2, and AQI (P < 0.008), with negative effects for CO and PM2.5 (P < 0.001, Table 1).
For the 2021 smoke season, implanted grain finished steers appeared to have detrimental effects on feed intake for PM2.5 due to a slight positive effect detected for SO2, PM10, and AQI (P < 0.05, Table 2). For the non-implanted steers during the 2021 smoke season, the effects of wildfire smoke exposure were detrimental for feed intake due to SO2 (P = 0.043, Table 2) and AQI (P = 0.075, Table 2), with no significant positive effects detected.
When evaluated for causal effects through the BART algorithm and credible intervals, variable importance for grain finished steers during the 2020 smoke season only appeared to show a trend on CO (P = 0.069, Table 3). For the grass finished steers during the 2020 smoke season, no significant variables appeared to influence feed intake of the animals (P > 0.05, Table 3). For the 2021 smoke season, implanted grain finished steers had no significant effects, and non-implanted grain finished steers only showed a significant effect for CO (P < 0.001, Table 3). For both years, the models with all variables were significant.
Water intakeWater intake across both years appeared constant, except for non-implanted steers who had a linear decrease throughout the experiment (Figure 2).
For the 2020 smoke season, the effects of wildfire smoke on water intake for grain finished steers showed positive relations for CO (P = 0.023), and for AQI (P < 0.001), while negative effects were found for NO2 (P < 0.001), SO2 (P = 0.025), and PM2.5 (P = 0.019; Table 1). For grass finished steers, positive effects were detected for Ozone (P = 0.020) and AQI (P = 0.012), while negative effects were found for NO2 (P = 0.036), SO2 (P < 0.001), and PM10 (P = 0.019; Table 1).
Water intakes from the 2021 smoke season for grain-fed implanted steers showed positive effects for SO2 (P = 0.004), Ozone (P = 0.057), and PM10 (P < 0.001), while negative effects were detected for PM2.5 (P = 0.002), and for AQI (P = 0.006, Table 2). For grain-fed non-implanted steers, positive relations were observed for CO (P = 0.006), and PM2.5 (P = 0.018), while trends were identified for PM10 (P = 0.100) and AQI (P = 0.100, Table 2).
When evaluated through the BART algorithm, during the 2020 smoke season, no significant variables were detected (Table 3). For the 2021 smoke season, for grain-finished implanted steers, NO2 (P = 0.020, Table 3) and Ozone (P = 0.030, Table 3) were significant parameters for the models, and CO showed a trend (P = 0.099, Table 3). For non-implanted steers during the 2021 season PM10 (P = 0.020, Table 3), AQI (P = 0.010, Table 3) were significant while a trend was observed for NO2 (P = 0.069, Table 3). For both years, the models with all variables were significant.
Prediction and credible intervalsTable 4 show the significant drop in coverage of variation when comparing prediction and credible intervals. The highest credible intervals were observed for non-implanted steers during the 2021 season, with some high credible intervals for feed and water intake.
ConclusionThough the exact mechanisms remain to be explored, we demonstrate positive and negative effects exist on feed and water intake in response to wildfire smoke exposure. This could be translated to body weight losses and losses in profitability for livestock producers that need to be properly analyzed and quantified. The moderate values in credible intervals for these parameters could eventually represent a plausible cause-effect relationship based on the current data, but additional analyses are required to verify this.
Our results highlight the positive and negative effects on finishing cattle performance and intake behavior parameters in response to wildfire smoke exposure. We present mechanisms that explained the observed effects, but highlight that current data, might be insufficient to establish causal relationships through a Bayesian framework.
ReferencesAmrhein, V., Trafimow, D., Greenland, S. 2019. Inferential Statistics as Descriptive Statistics: There Is No Replication Crisis if We Don’t Expect Replication. The American Statistician, 73(sup1), 262-270. https://doi.org/10.1080/00031305.2018.1543137.
Anderson, A., Rezamand, P., Skibiel, A. L. 2022. Effects of wildfire smoke exposure on innate immunity, metabolism, and milk production in lactating dairy cows. Journal of Dairy Science. Volume 105, Issue 8. Pages 7047-7060. ISSN 0022-0302. https://doi.org/10.3168/jds.2022-22135.
Hill J. L. 2011. Bayesian Nonparametric Modeling for Causal Inference, Journal of Computational and Graphical Statistics, 20:1, 217-240, DOI: 10.1198/jcgs.2010.08162
Hillman, A., Sadler, R., Smith, M., Pfeiffer, C., Barwell, R., Lee, A., Fraser, C., Lau, J., Cowled, B. 2022. Livestock exposure to bushfires and meat, offal and carcase quality: Is there an association? Preventive Veterinary Medicine. Volume 207. 105655. ISSN 0167-5877. https://doi.org/10.1016/j.prevetmed.2022.105655.
Sharpe, A.N., Gunther-Harrington, C.T., Epstein, S.E. et al. Cats with thermal burn injuries from California wildfires show echocardiographic evidence of myocardial thickening and intracardiac thrombi. Sci Rep 10, 2648 (2020). https://doi.org/10.1038/s41598-020-59497-z
Wohlsein P, Peters M, Schulze C, Baumgärtner W. Thermal Injuries in Veterinary Forensic Pathology. Veterinary Pathology. 2016;53(5):1001-1017. doi:10.1177/0300985816643368
Wellek, S. 2017. A critical evaluation of the current “p-value controversy”. Biom. J., 59, 854-872. https://doi.org/10.1002/bimj.201700001.
Franco is a Ph.D. student in the College of Agriculture Biotechnology and Natural Resources, Moreira da Silva is a Ph.D. student in animal nutrition, and Fonseca is an associate professor in the Department of Agriculture, Veterinary and Rangeland Sciences, all at the University of Nevada, Reno.